2020年8月6日,康国政教授团队在金属材料学顶级期刊《Acta Materialia》上发表论文“Modeling the two-way shape memory and elastocaloric effects of bamboo-grained oligocrystalline shape memory alloy microwire”。形状记忆合金通过适当的“机械训练”,可激发相变诱发塑性这一非弹性变形机制,进而产生位错内应力。这样,在内应力对马氏体变体选择的作用下,材料可以同时记忆住其“高温”和“低温”两种形态,并在变温过程中实现两种形态的相互转变,即“双程形状记忆效应”。同时,形状记忆合金应力和温度诱发固态相变过程中伴随着相变潜热的释放和吸收,使其显示出独特的“弹卡效应”。基于以上两种效应,形状记忆合金可用作温度驱动器和固态制冷设备的核心元器件,因而备受瞩目。
近些年,微尺度器件发展和应用使得微型形状记忆合金的制备和性能研究具有迫切的工程需求。最近,研究人员通过实验制备出了直径80μm、长4000μm、含有8个不同取向晶粒的竹节状少晶CuAlMn形状记忆合金微丝,研究了其温度诱发的双程形状记忆效应和应力诱发的弹卡效应。与常规块体形状记忆合金相比,该竹节状微丝在横截面上只包含一个晶粒,晶界体积分数和其对马氏体相变的约束效应得到了显著的降低,因此,仅仅在50MPa轴向应力下即可通过温度变化诱发出接近最大理论值的相变应变,同时,应力诱发相变临界值出现了明显的减低,大大提升了形状记忆合金的固态制冷效率。
为了定量解释竹节状微丝的独特相变行为,并为材料微结构优化设计提供理论指导,k1体育十年品牌k1体育康国政教授团队开展了相应的理论工作。

图1 竹状晶微丝的EBSD图片和有限元模型
首先,在单晶尺度上,为了合理描述形状记忆合金在大温度范围下的相变行为,摈弃了现有理论模型自由能函数的形式,直接通过原始的热力学Helmoholtz自由能定义,得到了内能、熵与定容热容的关联,进一步采用德拜热容表达式,分别得到了奥氏体相和马氏体相的Helmoholtz自由能,进一步通过混合率以及引入两相交互作用能,建立了单晶材料点的自由能与应力、温度、内变量间的关系。厘清了两相平衡温度、熵变、参考熵、参考内能等量的物理来源。然后,基于晶体塑性理论,引入多个具有相同本征应变特征值但不同特征方向的马氏体变体,在不可逆热力学框架下推导了马氏体相变驱动力,内部热释放和吸收以及内变量和温度场的演化方程,从而建立了可以描述形状记忆合金单晶在大温度范围下各向异性变形行为的热-力耦合本构关系。


图2 双程形状记忆效应和弹卡效应的实验及理论模拟结果
为了得到竹节状晶微丝的整体应力、应变和温度场,需要考虑特殊的晶体学位向关系以及具体的几何尺寸。首先采用有限元方法,在ABAQUS计算平台中建立了与实验微丝对应的有限元模型,并通过编写材料用户子程序,将单晶模型移植到有限元软件中。



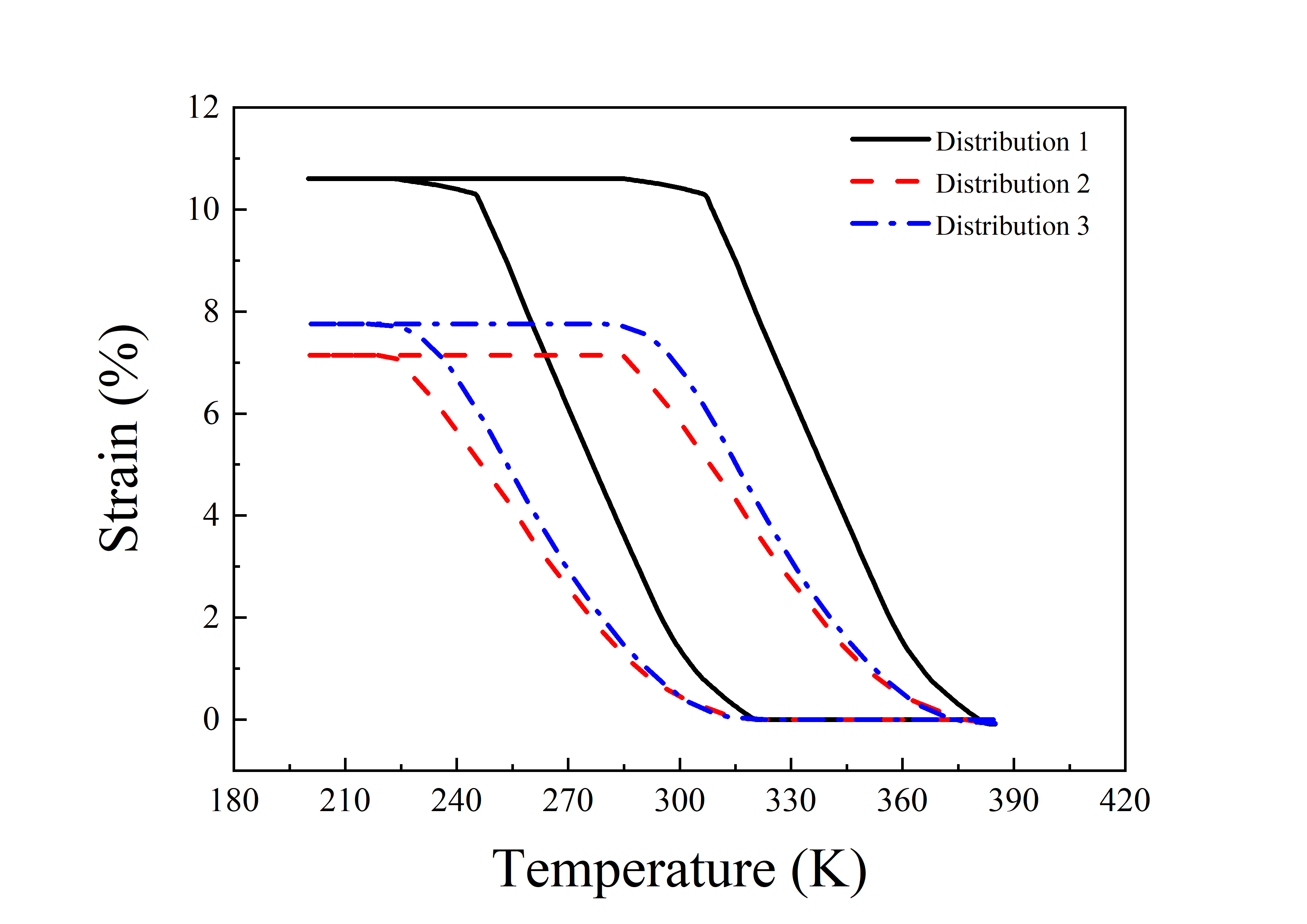
图3 三种不同微结构及其双程形状记忆效应和弹卡效应预测结果
同时,为了避免有限元多场耦合计算效率低下的问题,为竹节状晶微丝微结构设计提供一个快捷、简便的优化计算方法,本文提出了物理场的子区域积分方法,基于该方法,发展了针对竹状晶微丝特殊几何结构的尺度过渡准则。模拟结果表明,二者均可以对实验结果进行合理的描述,在微丝长细比达到25以上时,二者的误差仅仅在3.5%以下。
此外,本文通过改变竹状晶微丝内晶粒的大小和晶粒取向,预测内部微结构不同时的双程形状记忆效应和弹卡效应。预测结果表明,竹状晶微丝的宏观性能明显受到微结构的影响。此研究工作拓展了固体本构关系的内涵与外延,可以为材料制备中的微结构调控和性能优化提供相应的理论指导,具有重要的研究价值和应用前景。
该研究受到国家自然科学基金重点项目“形状记忆合金热-力耦合循环变形和疲劳失效行为的宏微观实验和理论模型研究”(No.11532010)的资助。论文作者包括2016级博士研究生周廷(第一作者)、康国政教授和尹灏副教授,于超副教授为通讯作者。
康国政教授所领导的“材料本构关系和疲劳断裂”研究团队,近年已在《Journal of the Mechanics and Physics of Solids》、《International Journal of Plasticity》、《International Journal of Solids and Structures》和《Acta Materialia》等固体力学与金属材料领域顶级期刊上发表32篇论文,产生了较大的国际学术影响力。